Heute nennt man dieses konstante Verhältnis Pi. Aus dem oben gesagt folgt, daß man Pi erhält, wenn man den Umfang durch den Durchmesser eines Kreises dividiert. Das Problem dabei ist die Bestimmung des Umfangs. Durch einfaches Nachmessen des Kreisumfangs kann man den Wert von Pi annähern.
Solche Annäherungen für den Wert gab es in der Geschichte viele: Kurz nach der Entdeckung von Pi, bestimmten die Babylonier 3 1/8 und die Ägypter das Quadrat von 16/9 als Annäherungen an Pi. Archimedes errechnete, daß Pi zwischen 3 10/71 und 3 1/7 liegt, und verwendete 211875/67441. Ptolemäus verwendete als Wert die Quadratwurzel aus 10. Diese Werte stimmen nur einige Dezimalstellen lang mit dem tatsächlichen Wert von Pi überein. Erst Ludolph van Ceulen berechnete 1596 die ersten 35 Stellen von Pi. Nach ihm nennt man Pi auch manchmal die Ludolphinische Zahl. In Folge wurden immer mehr Stellen von Pi genau berechnet, und heute kennt man mehrere 10 Milliarden Stellen von Pi.
Diese genauen Berechnungen von Pi ermöglichten Reihen- und Produktdarstellungen von Pi. So etwa fand Francois Viete die folgende Produktdarstellung:
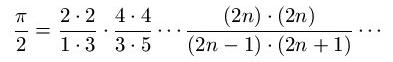
Der englische Mathematiker John Wallis zeigt die folgende Darstellung:
Und schließlich löste Euler ein altes Problem, als er die folgende Reihe aufsummierte:
Griechische Mathematiker brachten das Problem auf, ein Quadrat zu konstruieren, daß denselben Flächeninhalt wie ein gegebener Kreis hat. Wegen der Flächenformel für den Kreis ist dies gleichwertig dazu, die Zahl Pi zu konstruieren. Dieses Problem wurde unter den Namen "Die Quadratur des Kreises" bekannt, und konnte lange Zeit nicht gelöst werden. Im Jahre 1766 konnte Johann Heinrich Lambert zeigen, daß Pi irrational ist. Aber erst 1882 löste der deutsche Mathematiker Karl Luis Ferdinand von Lindemann dieses Problem, indem er zeigt, daß Pi transzendent ist.